Your-Doctor
Multiple Choice Questions (MCQ)



Free Palestine
Quiz Categories Click to expand

Category: Psychiatry--->Basic Statistics
Page: 19

Question 91# Print Question

The given cost-effectiveness acceptability curve (CEAC) is drawn using the data from the hypothetical study on treatment of depression. What is the probability of cost-effectiveness if the society is willing to pay £150 for every depression-free day? 

A. >90%
B. 75%
C. 50%
D. 25%
E. <10%


Question 92# Print Question

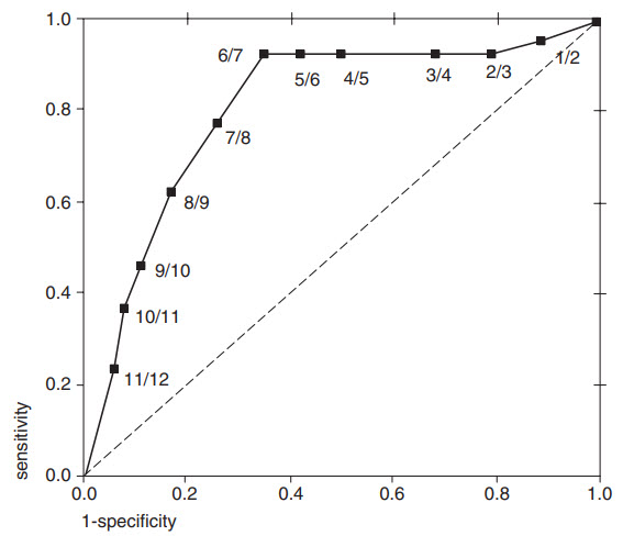
A new 12-point scale with scores from 1 to 12 (1 being not depressed and 12 being the highest degree of depression) was developed to screen for depression in a population of patients with dementia. The scale was tested against the gold standard of DSM-IV in a small study. The neurologists using the test wanted a score that would identify a depressed person from a non-depressed based on this instrument. A statistician involved in the development of this instrument mailed the following graph to the neurologists. Answer Questions 92–96 based on the graph below. 

What is the above graph called

A. Scatter plot
B. Funnel plot
C. Receiver operator characteristics curve
D. Galbraith plot
E. Forest plot


Question 93# Print Question

What does 1 – specificity represent?

A. False-positive rate
B. False-negative rate
C. True-positive rate
D. True-negative rate
E. None of the above


Question 94# Print Question

What does the dotted line represent?

A. It is the curve of the test that best discriminates depressed from non-depressed people
B. It is the curve of a test that partially discriminates depressed from non-depressed people
C. It is the curve of a test that does not discriminate depressed from non-depressed people
D. It is the curve representing the application of the current screening instrument to the whole population
E. It is the curve of a test with maximum sensitivity but minimum specificity


Question 95# Print Question

Which cut-off point provides the best acceptable combination of sensitivity and specificity?

A. 1/2
B. 8/9
C. 3/4
D. 5/6
E. 6/7




Category: Psychiatry--->Basic Statistics
Page: 19 of 20